Getting Started with Reflection Spectroscopyο
Hajime Kawahara September 24th (2025)
In this tutorial, we analyze the high-resolution near-infrared reflection spectrum of Jupiter. This is a simplified version of the analysis performed in exojaxample_jupiter.
In this Getting Started guide, we include a cloud model for reflected light calculations, making it more detailed than other Getting Started guides. It may be helpful to first read about the Ackerman & Marley cloud model.
The spectrum to be analyzed is as follows. The absorption lines observed in the spectrum are primarily due to methane. While a comprehensive line database for methane in the visible range is still lacking (see here), the near-infrared range allows for a reasonable explanation of the observed data. Additionally, since this is a reflection spectrum, the original solar spectrum must also be taken into account.
from jax import config
config.update("jax_enable_x64", True)
The following schematic figure explains how ExoJAX works; (1) loading
databases (*db
), (2) calculating opacity (opa
), (3) sets a cloud
model (amp
) (4) running atmospheric radiative transfer (art
),
(5) applying operations on the spectrum (sop
)
In this βgetting startedβ guide, there are two opacity sources, CH4 and
particulate (NH3). Their respective databases, mdb
and pdb
, are
converted by opa
into the opacity of each atmospheric layer, which
is then used in the radiative transfer calculation performed by art
.
We also need an atmospheric microphysics model amp
for cloud
structure. Finally, sop
convolves the rotational effects and
instrumental profiles, generating the reflection spectrum.
mdb
/pdb
β> opa
/amp
β> art
β> sop
β> spectrum
This spectral model is incorporated into the probabilistic model in NumPyro, and retrieval is performed by sampling using HMC-NUTS.

Figure. Structure of ExoJAXο
from exojax.test.emulate_spec import sample_reflection_spectrum
import matplotlib.pyplot as plt
nu_obs, flux, err_flux = sample_reflection_spectrum()
fig = plt.figure(figsize=(12,4))
plt.errorbar(nu_obs,flux,yerr=err_flux,fmt=".",color="gray", alpha=0.3)
plt.xlabel("wavenumber (cm-1)")
plt.ylabel("flux")
plt.show()

I found very good one: High-resolution solar spectrum taken from Meftar et al.Β (2023). Get the data.
10.21413/SOLAR-HRS-DATASET.V1.1_LATMOS
from exojax.utils.grids import wav2nu
import pandas as pd
filename = "/home/kawahara/solar-hrs/Spectre_HR_LATMOS_Meftah_V1.txt"
dat = pd.read_csv(filename, names=("wav","flux"), comment=";", delimiter="\t")
dat["wav"] = dat["wav"]*10
wav_solar = dat["wav"][::-1]
solspec = dat["flux"][::-1]
nus_solar = wav2nu(wav_solar,unit="AA")
from exojax.utils.constants import c
vrv = -55 #km/s
fig = plt.figure(figsize=(12,4))
plt.plot(nus_solar,solspec*10)
plt.errorbar(nu_obs*(1 + vrv/c),flux,yerr=err_flux,fmt=".",color="gray", alpha=0.3)
plt.xlim(nu_obs[0],nu_obs[-1])
plt.ylim(-0.5,2.5)
plt.xlabel("wavenumber (cm-1)")
plt.ylabel("flux")
plt.show()

Now, we will use ArtReflectPure
for the radiative transfer of
reflected light.
import numpy as np
from exojax.utils.grids import wavenumber_grid
from exojax.rt import ArtReflectPure
nus, wav, res = wavenumber_grid(
np.min(nu_obs) - 5.0, np.max(nu_obs) + 5.0, 10000, xsmode="premodit", unit="cm-1"
)
art = ArtReflectPure(
nu_grid=nus, pressure_btm=3.0e1, pressure_top=1.0e-3, nlayer=200
)
xsmode = premodit xsmode assumes ESLOG in wavenumber space: xsmode=premodit Your wavelength grid is in * descending * order The wavenumber grid is in ascending order by definition. Please be careful when you use the wavelength grid.
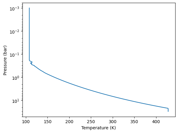
Now, letβs use the temperature-pressure (T-P) profile of Jupiter obtained by the Galileo probe. Please install jovispec.
from jovispec.tpio import read_tpprofile_jupiter
dat = read_tpprofile_jupiter()
torig = dat["Temperature (K)"]
porig = dat["Pressure (bar)"]
Letβs interpolate the temperature grid to match the pressure grid of
art
. For simplicity, we will assume an isothermal atmosphere in the
upper layers.
Tarr_np = np.interp(art.pressure, porig, torig)
i = np.argmin(Tarr_np)
Tarr_np[0:i] = Tarr_np[i]
# acutually, this just convert Tarr_np to jnp.array
Tarr = art.custom_temperature(Tarr_np)
plt.plot(Tarr,art.pressure)
plt.yscale("log")
plt.gca().invert_yaxis()
plt.xlabel("Temperature (K)")
plt.ylabel("Pressure (bar)")
plt.show()

Set the mean molecular weight and gravity.
from exojax.utils.astrofunc import gravity_jupiter
mu = 2.22 # mean molecular weight NASA Jupiter fact sheet
gravity = gravity_jupiter(1.0, 1.0)
In Jupiterβs atmosphere, the primary reflectors of sunlight are ammonia
clouds. Therefore, we retrieve ammonia from the PdbCloud
database.
As the cloud model, we use the Ackerman & Marley (AM)-like
model, which can be accessed
via AmpAmcloud
from atmphys
.
Whether a simple gray cloud model would suffice is worth considering. Using an overly complex model for the data can obscure the assumptions being made. However, since the cloud composition and the T-P profile of Jupiter are well understood, using an AM model should not be excessive.
from exojax.database.pardb import PdbCloud
from exojax.atm.atmphys import AmpAmcloud
pdb_nh3 = PdbCloud("NH3")
amp_nh3 = AmpAmcloud(pdb_nh3, bkgatm="H2")
amp_nh3.check_temperature_range(Tarr)
.database/particulates/virga/virga.zip exists. Remove it if you wanna re-download and unzip.
Refractive index file found: .database/particulates/virga/NH3.refrind
Miegrid file exists: .database/particulates/virga/miegrid_lognorm_NH3.mg.npz
/home/kawahara/exojax/src/exojax/atm/atmphys.py:54: UserWarning: min temperature 107.99141615972869 K is smaller than min(vfactor t range) 179.10000000000002 K
warnings.warn(
We calculate the condensate substance density of cloud particles. Based on Jupiterβs observations, we assume an ammonia abundance three times the solar composition. Finally, we define the mass mixing ratio of ammonia at the cloud base.
from exojax.utils.zsol import nsol
from exojax.atm.atmconvert import vmr_to_mmr
from exojax.database.molinfo import molmass_isotope
# condensate substance density
rhoc = pdb_nh3.condensate_substance_density # g/cc
n = nsol("AG89")
abundance_nh3 = 3.0 * n["N"] # x 3 solar abundance
molmass_nh3 = molmass_isotope("NH3", db_HIT=False)
MMRbase_nh3 = vmr_to_mmr(abundance_nh3, molmass_nh3, mu)
Database for solar abundance = AG89
Anders E. & Grevesse N. (1989, Geochimica et Cosmochimica Acta 53, 197) (Photospheric, using Table 2)
In the AM model, parameters are currently made differentiable by
creating a grid dataset called miegrid
and interpolating it. The
parameters of miegrid
are sigmag
and rg
in the AM model;
however, in this example, we fix sigmag
and create a grid only for
rg
. How should we determine the grid range for rg
? Letβs convert
the expected range of fsed
(here 0.1 - 10) to rg
and use that to
define the grid range.
fsed_range = [0.1, 10.0]
Kzz_fixed = 1.0e4
sigmag_fixed = 2.0
vrv_fixed = 0.0
N_fsed = 3
fsed_grid = np.logspace(np.log10(fsed_range[0]), np.log10(fsed_range[1]), N_fsed)
rg_val = []
for fsed in fsed_grid:
rg_layer, MMRc = amp_nh3.calc_ammodel(
art.pressure, Tarr, mu, molmass_nh3, gravity, fsed, sigmag_fixed, Kzz_fixed, MMRbase_nh3
)
rg_val.append(np.nanmean(rg_layer))
plt.plot(fsed, np.nanmean(rg_layer), ".", color="black")
plt.text(fsed, np.nanmean(rg_layer), f"{Kzz_fixed:.1e}")
rg_val = np.array(rg_val)
plt.yscale("log")
plt.xlabel("fsed")
plt.ylabel("rg")
plt.show()

Through the above procedure, we found that rg
should be gridded over
approximately one order of magnitude, ranging from (10^{-5}) to
(10^{-6}). The miegrid
can be generated using generate_miegrid
from pdb
. Once generated, it does not need to be regenerated for
future use.
This miegrid
uses
PyMieScatt as the backend.
If you installed it via pip, you might encounter an error with
scipy.integrate.trapz
. In that case, clone the repository from
GitHub and install it using python setup.py install
.
https://github.com/bsumlin/PyMieScatt
rg_range = [np.min(rg_val), np.max(rg_val)]
N_rg = 10
print("rg range=",rg_range)
pdb_nh3.generate_miegrid(
sigmagmin=sigmag_fixed,
sigmagmax=sigmag_fixed,
Nsigmag=1,
log_rg_min=np.log10(rg_range[0]),
log_rg_max=np.log10(rg_range[1]),
Nrg=N_rg,
)
If you have already generated miegrid, you can load it using
load_miegrid
.
pdb_nh3.load_miegrid()
pdb.miegrid, pdb.rg_arr, pdb.sigmag_arr are now available. The Mie scattering computation is ready.
We assume that cloud scattering follows Mie scattering. The opa
for
Mie scattering is OpaMie
.
from exojax.opacity import OpaMie
opa_nh3 = OpaMie(pdb_nh3, nus)
from exojax.database.hitemp.api import MdbHitemp
mdb_reduced = MdbHitemp("CH4", nurange=[nus[0], nus[-1]], isotope=1, elower_max=3300.0)
radis engine = vaex
tosss {'ENCRYPTION_KEY': 'Y4OG6orz1ng3xBpegpj_QmYb-3f7_OvMx6UfMiyRlTw=', 'HITRAN_USERNAME': 'gAAAAABn4pSK0S_unODzf8VGcmEv9LOE59ieBYv8sDVPZB25LRvs-c3z9_lnLlhd2gGYbMR-wOHIyQqkm-DIZ58_L2uAduTvbjJ0JBjAgZddtWgmO-TLCfI=', 'HITRAN_PASSWORD': 'gAAAAABn4pSKXNM5OmFnW_WWeFp_mPg1UlVQg2FuSPsg192eWgpSephsl1b4LuSs-QtuMupi9xUuKnmfS3V7BYudOHnYIaIZLQ==', 'HITRAN_EMAIL': 'gAAAAABn4pSK0S_unODzf8VGcmEv9LOE59ieBYv8sDVPZB25LRvs-c3z9_lnLlhd2gGYbMR-wOHIyQqkm-DIZ58_L2uAduTvbjJ0JBjAgZddtWgmO-TLCfI='}
Login successful.
Starting download from https://hitran.org/files/HITEMP/bzip2format/06_HITEMP2020.par.bz2 to 06_HITEMP2020.par.bz2
Total size to download: 445562914 bytes
06_HITEMP2020.par.bz2: 100%|ββββββββββ| 446M/446M [02:14<00:00, 3.31MB/s]
Download complete!
mdb
-β-> opa
Since v2.2, loose coupling β has been
adopted between mdb
and OpaPremodit
. By generating a snapshot
from mdb
, only the necessary information can be passed to opa
.
If you do not plan to use mdb
afterward, you can safely delete it
with del
.
import jax.numpy as jnp
from exojax.opacity import OpaPremodit
molmass = mdb_reduced.molmass # we use molmass later
# one liner version
#opa = OpaPremodit.from_mdb(mdb_reduced, nu_grid=nus, allow_32bit=True, auto_trange=[80.0, 300.0])
# uses snap and delete mdb_reduced to save memory
snap = mdb_reduced.to_snapshot() # extract snapshot from mdb
del mdb_reduced # save the memory
opa = OpaPremodit.from_snapshot(snap, nu_grid=nus, allow_32bit=True, auto_trange=[80.0, 300.0])
## Spectrum Model
nusjax = jnp.array(nus)
nusjax_solar = jnp.array(nus_solar)
solspecjax = jnp.array(solspec)
default elower grid trange (degt) file version: 2
Robust range: 79.45501192821337 - 740.1245313998245 K
OpaPremodit: gamma_air and n_air are used. gamma_ref = gamma_air/Patm
max value of ngamma_ref_grid : 31.65553199866716
min value of ngamma_ref_grid : 13.8937057424919
ngamma_ref_grid grid : [13.89370441 15.93761568 18.28220622 20.97171063 24.05686937 27.59588734
31.65553474]
max value of n_Texp_grid : 1.13
min value of n_Texp_grid : 0.57
n_Texp_grid grid : [0.56999993 0.75666667 0.94333333 1.13000011]
uniqidx: 100%|ββββββββββ| 8/8 [00:00<00:00, 1808.77it/s]
Premodit: Twt= 328.42341041740974 K Tref= 91.89455622053987 K
Making LSD:|####################| 100%
Encapsulate the methane opacity calculation into a function.
molmass_ch4 = molmass_isotope("CH4", db_HIT=False)
def methane_opacity(const_mmr_ch4):
mmr_ch4 = art.constant_mmr_profile(const_mmr_ch4)
xsmatrix = opa.xsmatrix(Tarr, art.pressure)
dtau_ch4 = art.opacity_profile_xs(xsmatrix, mmr_ch4, molmass_ch4, gravity)
return dtau_ch4
Oh, I almost forgotβthis data was obtained from a test observation of Jupiter using a 20 cm telescope before installing the IRD spectrograph on the Subaru Telescope. For details, ask Takayuki Kotani. A spectral resolution of around 25,000 seems appropriate.
from exojax.postproc.specop import SopInstProfile
# asymmetric_parameter = asymmetric_factor + np.zeros((len(art.pressure), len(nus)))
reflectivity_surface = np.zeros(len(nus))
sop = SopInstProfile(nus)
broadening = 25000.0
Since we want to normalize the data for optimization, we encapsulate the related operations into a function. This is not necessary if using only HMC.
def unpack_params(params):
multiple_factor = jnp.array([1.0, 1.0, 1.0, 1.0, 1.0, 10000.0, 0.01, 1.0])
par = params * multiple_factor
log_fsed = par[0]
sigmag = par[1]
log_Kzz = par[2]
vrv = par[3]
vv = par[4]
_broadening = par[5]
const_mmr_ch4 = par[6]
factor = par[7]
fsed = 10**log_fsed
Kzz = 10**log_Kzz
return fsed, sigmag, Kzz, vrv, vv, _broadening, const_mmr_ch4, factor
Next, we define the long-awaited atmospheric model. The key point here
is that rg
does not vary significantly across atmospheric layers, so
we use the average as the representative value.
We calculate the Three Sacred Treasures in the two-stream approximation for radiative transfer of reflected and scattered light: opacity, single scattering albedo, and the asymmetry parameter.
def atmospheric_model(params):
# unused parameters are marked with _
fsed, _sigmag, _Kzz, _vrv, vv, _broadening, const_mmr_ch4, factor = (
unpack_params(params)
)
broadening = 25000.0
rg_layer, MMRc = amp_nh3.calc_ammodel(
art.pressure,
Tarr,
mu,
molmass_nh3,
gravity,
fsed,
sigmag_fixed,
Kzz_fixed,
MMRbase_nh3,
)
rg = jnp.mean(rg_layer)
sigma_extinction, sigma_scattering, asymmetric_factor = (
opa_nh3.mieparams_vector(rg, sigmag_fixed)
)
dtau_cld = art.opacity_profile_cloud_lognormal(
sigma_extinction, rhoc, MMRc, rg, sigmag_fixed, gravity
)
dtau_cld_scat = art.opacity_profile_cloud_lognormal(
sigma_scattering, rhoc, MMRc, rg, sigmag_fixed, gravity
)
asymmetric_parameter = asymmetric_factor + np.zeros(
(len(art.pressure), len(nus))
)
dtau_ch4 = methane_opacity(const_mmr_ch4)
single_scattering_albedo = (dtau_cld_scat) / (dtau_cld + dtau_ch4)
dtau = dtau_cld + dtau_ch4
return (
vv,
factor,
broadening,
asymmetric_parameter,
single_scattering_albedo,
dtau,
)
Next, we define the spectral model. Since the atmospheric model has been defined separately, this definition remains concise.
from exojax.utils.instfunc import resolution_to_gaussian_std
def spectral_model(params):
vv, factor, broadening, asymmetric_parameter, single_scattering_albedo, dtau = (
atmospheric_model(params)
)
# velocity
vpercp = (vrv_fixed + vv) / c
incoming_flux = jnp.interp(nusjax, nusjax_solar * (1.0 + vpercp), solspecjax)
Fr = art.run(
dtau,
single_scattering_albedo,
asymmetric_parameter,
reflectivity_surface,
incoming_flux,
)
std = resolution_to_gaussian_std(broadening)
Fr_inst = sop.ipgauss(Fr, std)
Fr_samp = sop.sampling(Fr_inst, vv, nu_obs)
return factor * Fr_samp
Optimizationο
This model works with reverse-mode differentiation, but to accommodate the use of Opart for reducing device memory, we implement optimization in forward-mode as well. Yes, Opart can also be used for reflected light calculations, using OpartReflectPure.
from jax import jacfwd
import jax.numpy as jnp
def cost_function(params):
return jnp.sum((flux - spectral_model(params)) ** 2)
def dfluxt_jacfwd(params):
return jacfwd(cost_function)(params)
parinit = jnp.array(
[jnp.log10(3.0), sigmag_fixed, jnp.log10(Kzz_fixed), -5.0, -55.0, 2.5, 1.0, 11.0]
)
import optax
import tqdm
solver = optax.adamw(learning_rate=1.e-3)
params = np.copy(parinit)
state = solver.init(params)
val = []
loss = []
for _ in tqdm.tqdm(range(3000)):
grad = dfluxt_jacfwd(params)
updates, state = solver.update(grad, state, params)
params = optax.apply_updates(params, updates)
val.append(params)
loss.append(cost_function(params))
val = np.array(val)
loss = np.array(loss)
100%|ββββββββββ| 3000/3000 [14:00<00:00, 3.57it/s]
Nice L-curve!
fig = plt.figure()
ax = fig.add_subplot(111)
plt.plot(loss)
plt.yscale("log")
plt.show()
# res.params
print("fsed, sigmag, Kzz, vrv, vr, _broadening, const_mmr_ch4, factor")
print("init:", unpack_params(parinit))
print("best:", unpack_params(params))
print("fsed, sigmag, Kzz, vrv, vr, _broadening, const_mmr_ch4, factor")
print("best (packed):", params)
F_samp = spectral_model(params)
F_samp_init = spectral_model(parinit)

fsed, sigmag, Kzz, vrv, vr, _broadening, const_mmr_ch4, factor
init: (Array(3., dtype=float64), Array(2., dtype=float64), Array(10000., dtype=float64), Array(-5., dtype=float64), Array(-55., dtype=float64), Array(25000., dtype=float64), Array(0.01, dtype=float64), Array(11., dtype=float64))
best: (Array(8.53499414, dtype=float64), Array(1.99940009, dtype=float64), Array(9972.41124884, dtype=float64), Array(-4.99850022, dtype=float64), Array(-57.69619346, dtype=float64), Array(24992.50112451, dtype=float64), Array(0.01545952, dtype=float64), Array(9.98806778, dtype=float64))
fsed, sigmag, Kzz, vrv, vr, _broadening, const_mmr_ch4, factor
best (packed): [ 0.93120323 1.99940009 3.99880018 -4.99850022 -57.69619346
2.49925011 1.54595203 9.98806778]
The optimization seems to be working well.
F_samp = spectral_model(params)
F_samp_init = spectral_model(parinit)
fig = plt.figure(figsize=(30, 5))
ax = fig.add_subplot(111)
plt.plot(nu_obs, flux, ".", label="observed spectrum")
plt.plot(nu_obs, F_samp_init, alpha=0.5, label="init", color="C1", ls="dashed")
plt.plot(nu_obs, F_samp, alpha=0.5, label="best fit", color="C1", lw=3)
plt.legend()
plt.xlim(np.min(nu_obs), np.max(nu_obs))
plt.show()

unpack_params(params) #fsed, _sigmag, _Kzz, _vrv, vv, _broadening, const_mmr_ch4, factor
params
Array([ 0.93120323, 1.99940009, 3.99880018, -4.99850022,
-57.69619346, 2.49925011, 1.54595203, 9.98806778], dtype=float64)
HMC-NUTS retrievalο
HMC-NUTS can be run in the same way as before. Here, Iβll take a shortcut (I need to head to work soon!) and run it with only five parameters.
import numpyro
import numpyro.distributions as dist
def model_c(y1, y1err):
log_fsed_n = numpyro.sample("log_fsed_n", dist.Uniform(0.0, 2.0))
numpyro.deterministic("fsed", 10**log_fsed_n)
vr = numpyro.sample("vr", dist.Uniform(-70.0, -50.0))
log_molmass_ch4_n = numpyro.sample("log_MMR_CH4", dist.Uniform(-1, 1))
molmass_ch4_n = 10**log_molmass_ch4_n
numpyro.deterministic("mmr_ch4", molmass_ch4_n * 0.01)
factor = numpyro.sample("factor", dist.Uniform(5.0, 15.0))
params = jnp.array([ log_fsed_n, 2.0, 4.0, -5.0, vr, 2.5, molmass_ch4_n, factor])
mean = spectral_model(params)
sigma = numpyro.sample("sigma", dist.Exponential(1.0))
err_all = jnp.sqrt(y1err**2. + sigma**2.)
numpyro.sample("y1", dist.Normal(mean, err_all), obs=y1)
from numpyro.infer import MCMC, NUTS
from jax import random
rng_key = random.PRNGKey(0)
rng_key, rng_key_ = random.split(rng_key)
num_warmup, num_samples = 500, 1000
kernel = NUTS(model_c) #put forward_differentiation = True when you use OpartReflectPure
mcmc = MCMC(kernel, num_warmup=num_warmup, num_samples=num_samples)
mcmc.run(rng_key_, y1=flux, y1err=err_flux)
mcmc.print_summary()
sample: 100%|ββββββββββ| 1500/1500 [41:00<00:00, 1.64s/it, 31 steps of size 8.39e-02. acc. prob=0.93]
mean std median 5.0% 95.0% n_eff r_hat
factor 8.67 0.15 8.67 8.43 8.92 382.42 1.01
log_MMR_CH4 0.31 0.12 0.31 0.11 0.51 272.91 1.00
log_fsed_n 0.73 0.07 0.73 0.63 0.85 309.07 1.00
sigma 0.15 0.01 0.15 0.13 0.17 550.99 1.00
vr -60.17 0.26 -60.17 -60.55 -59.70 868.34 1.00
Number of divergences: 0
from numpyro.diagnostics import hpdi
from numpyro.infer import Predictive
posterior_sample = mcmc.get_samples()
pred = Predictive(model_c, posterior_sample, return_sites=['y1'])
predictions = pred(rng_key_, y1=None, y1err=err_flux)
median_mu1 = jnp.median(predictions['y1'], axis=0)
hpdi_mu1 = hpdi(predictions['y1'], 0.9)
fig, ax = plt.subplots(nrows=1, ncols=1, figsize=(15, 4.5))
ax.plot(nu_obs, median_mu1, color='C1')
ax.fill_between(nu_obs,
hpdi_mu1[0],
hpdi_mu1[1],
alpha=0.3,
interpolate=True,
color='C1',
label='90% area')
ax.errorbar(nu_obs, flux, err_flux, fmt=".", label="mock spectrum", color="black",alpha=0.5)
plt.xlabel('wavenumber (cm-1)', fontsize=16)
plt.legend(fontsize=14)
plt.tick_params(labelsize=14)
plt.show()

import arviz
pararr = ['factor', 'mmr_ch4', 'fsed', 'vr', 'sigma']
arviz.plot_pair(arviz.from_numpyro(mcmc),
var_names=pararr,
kind='kde',
divergences=False,
marginals=True)
plt.show()

Thatβs it!